Part 3 of Dare to Compare shows how one-population statistical tests are conducted. Part 4 extends these concepts to two-population tests.
To review, this flowchart summarizes the the process of statistical testing.
First, you PLAN the comparison by understanding the populations you will take a representative sample of individuals from and measure the phenomenon on. Then you assess the frequency distributions of the measurements to see if they approximate a Normal distribution.
Second, you TEST the measurements by considering the test parameters, the type of test, the hypotheses, the test dimensionality, degrees of freedom, and violations of assumptions.
Third, you review the RESULTS by setting the confidence, determining the effect size and power of the test, and assessing the significance and meaningfulness of the test.
Now imagine this.
You’re a sophomore statistics major at Faber College and you need to sign up for the dreaded STATS 102 class. The class is taught in the Fall and the Spring by two different instructors (Dr. Statisticus and Prof. Modearity) as either three, one-hour sessions on Mondays, Wednesdays, and Fridays, or as two, hour and a half sessions on Tuesdays and Thursdays. You wonder if it makes a difference which class you take. Having completed STATS 101, you know everything there is to know about statistics, so you get the grades from the classes that were taught last year. Here are the data.

What class should you take to get the highest grade? Dr. Statisticus gave out the highest grades in the Fall; Prof. Modearity gave out a higher grade in the Spring. On the other side of the coin, only one person flunked (grade below 75) Dr. Statisticus’ classes but six people flunked Prof. Modearity’s classes. Three students flunked in the Fall while four students flunked in the Spring. Two people flunked TuTh classes and five people flunked MWF classes. This is complicated.
Looking at the averages, you think that taking Dr. Statisticus’ Tuesday-Thursday class in the fall would be your best bet. However, is a two or three point difference worth the class conflicts and scheduling hassles you might have? Does it really matter?

Maybe it’s time for some statistical testing? But these would be two-population tests because you have to compare two semesters, two instructors, and two class lengths.
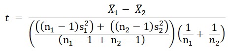
Two Population t-Tests
In a two-population test, you compare the average of the measurements in the first population to the average of the second population, using the formula:

This is a bit more complicated than the formula for a one-population test because you can have different standard deviations and different numbers of measurements in the two populations.
Here’s what’s happening. The numerator (top part of the formula) is the same in both t-test formulas. The leftmost term in the denominator calculates a weighted average of the variances, called a pooled variance.
If the number of measurements taken of the two populations is the same, the test design is said to be balanced. If the variances of the measurements in the two populations are the same, the leftmost term in the denominator reduces to s2. So, the formula for a balanced two-population t-test with equal variances is:
Much more simple but not as useful as the more complicated formula. You might be able to control the number of samples from the populations but you can’t control the variances.
Once you calculate a t value, the rest of the test is similar to a one-population test. You compare the calculated t to a t-value from a table or other reference for the appropriate number of tails, the confidence (1- α), and the degrees of freedom (the number of samples in the sample of the population minus 1).
If the calculated t value is larger than the table t value, the test is SIGNIFICANT, meaning that the means are statistically different. If the table t value is larger than the calculated t value, the test is NOT SIGNIFICANT, meaning that the means are statistically the same.


Example
Back to the example. You want to compare the differences between semesters, instructors, and class days. You have no expectations for what the best semester, instructor, or class day would be. To be conservative, you’ll accept a false positive rate (i.e., 1-confidence, α) of 0.05. Your null hypotheses are:
цFall Semester = цSpring Semester цDr. Statisticus = цProf. Modearity цMWF = цTuTh
Now for some calculations, first the semesters.
XFall Semester = 84.0 XSpring Semester = 83.5 NFall Semester = 33 NSpring Semester = 35 S2Fall Semester = 49.7 (S = 7.05) S2Spring Semester = 41.7 (S = 6.46)

And the tabled value is:
t(2-tailed, 0.05 confidence, 65 degrees of freedom) = 1.997
You can do these calculations in Excel with the formula:
=T.TEST(array1,array2,tails,type)
Where type=3 is a t-test for two-samples with unequal variances. There are also a few online sites for the calculations, such as https://www.evanmiller.org/ab-testing/t-test.html, from which this graphic was produced.

So there is no statistically significant difference between the Fall semester classes and the Spring semester classes.
Now for the instructors:
XDr. Statisticus = 85.4 XProf. Modearity = 82.0 NDr. Statisticus = 35 NProf. Modearity = 33 S2Dr. Statisticus = 37.5 (S = 6.12) S2Prof. Modearity = 48.5 (S = 6.96)

And the tabled value is:
t(2-tailed, 0.05 confidence, 66 degrees of freedom) = 1.996
So there is a statistically significant difference between instructors. Dr. Statisticus gives higher grades than Prof. Modearity.
From www.evanmiller.org/:

Now for the days of the week:
XMWF = 82.4 XTuTh = 85.2 NMWF = 36 NTuTh = 32 S2MWF = 47.8 (S = 6.91) S2TuTh = 39.4 (S = 6.28)

So there is no statistically significant difference between the one-hour classes on Mondays, Wednesdays, and Fridays and the hour-and-a-half classes on Tuesdays and Thursdays.
From www.evanmiller.org/:

Here is a summary of the three tests.

So take Dr, Statisticus’ class when ever it fits in your schedule.
ANOVAs
So what do you do if you have more than two populations or more than one phenomenon or some other weird combinations of data? You use an Analysis of Variance (ANOVA).
ANOVA includes a variety of statistical designs used to analyze differences in group means. It is a generalization of the t-test of a factor (called maineffect or treatments in ANOVA) to more than two groups (called levels in ANOVA). In an ANOVA, the variances in the levels of factors being compared are partitioned between variation associated with the factors in the design (called model variation) and random variation (called error variation). ANOVA is conceptually similar to multiple two-population t-tests, but produces fewer type I (false positive) errors. While t-tests use t-values from the t-distribution, ANOVAs use F-tests from the F-distribution. An F-test is the ratio of the model variation the error variation. When there are only two means to compare, the t-test and the ANOVA F-test are equivalent according tp the relationship F = t2.
Types of ANOVA
There are many types of ANOVA designs. One-way and multi-way ANOVAs are the most common.
One-Way ANOVAs
One-way ANOVA is used to test for differences among three or more independent levels of one effect. In the example t-test, a one-way ANOVA might involve more than two levels of one of the three factors. For example, a one-way ANOVA would allow testing more than two instructors or more than two semesters.
Multi-Way ANOVAs
Multi-way ANOVAs (sometimes called factorial ANOVAs) are used to test for differences between two or more effects. A two-way ANOVA tests two effects, a three-way ANOVA tests three effects, and so on. Multi-way ANOVAs have the advantage of being able to test the significance of interaction effects. Interaction effects occur when two or more effects combine to affect measurements of the phenomenon. In the example t-test, a three-way ANOVA would allow simultaneous analysis of the semesters, instructors, and days, as well as interactions between them.
Other Types of ANOVA
There are numerous other types of ANOVA designs, some of which are too complex to explain in a sentence or two. Here are a few of the more commonly used designs.
Repeated Measures ANOVAs (also called as within-subjects ANOVA) are used when the same subjects are used for each treatment effect, as in a longitudinal study. In the example, if the scores for the students were recorded every month of the semester, it could be analyzed with a Repeated Measures ANOVA.
Some ANOVAs use design elements to control extraneous variance. The significance of the design elements is not important to the dependent variable so long as it controls variability in the main effects. If the design element is a nominal-scale variable, it is called a blocking effect. If the design element is a continuous-scale variable, it is called a covariate and the model is called an Analysis of Covariance (ANCOVA). In the example, if students’ year in college (freshman, sophomore, junior, or senior, an ordinal scale measure) were added as an effect to control variance, it would be a blocking factor. If students’ GPA (grade point average, a continuous scale measure) as a covariate, it would be a ANCOVA design.
Random Effects ANOVAs assume that the levels of a main effect are sampled from a population of possible levels so that the results can be extended to other possible levels. The Instructors main effect in the example could be a random effect if other instructors were considered part of the population that included Dr. Statisticus and Prof. Modearity. If only Dr. Statisticus and Prof. Modearity were levels of the effect, it would be called a fixed effect. If a design included both fixed and random effects, it is called a mixed effects design.
Multivariate analysis of variance (MANOVA) is used when there is more than one set of measurements (also called dependent variables or response variables) of the phenomenon.
Now What?
Dare to Compare is a fairly comprehensive summary of statistical comparisons. You may not hear about all of these concepts in Stats 101 and that’s fine. Learn what you need to to pass the course. Some topics are taught differently, especially hypothesis development and the normal curve. Follow what your instructor teaches. He or she will assign your grade.
Believe it or not, there’s quite a bit more to learn about all of the topics if you go further in statistics. There are special t-tests for proportions, regression coefficients, and samples that are not independent (called paired sample t-tests). There are tests based on other distributions besides the Normal and t-distributions, such as the binomial and chi2 distributions. There are also quite a few nonparametric tests, based on ranks. And, of course, there are many topics on the mathematics end and o2n more metaphysical concepts like meaningfulness.
Statistical testing is more complicated than portrayed by some people but it’s still not as formidible as, say, driving a car. You might learn to drive as a teenager but not discover statistics and statistical testing until college. Both statistical testing and driving are full of intracacies that you have to keep in mind. In testing you consider an issue once, while in driving you must do it continually. When you make a mistake in testing, you can go back and correct it. If you make a mistake in driving, you might get a ticket or cause an accident. After you learn to drive a car, you can go on to learn to drive motorcycles, trucks, busses, and racing vehicles. After you learn simple hypothesis testing, you can go on to learn ANOVA, regression, and many more advanced techniques. So if you think you can learn to drive a car, you can also learn to conduct a statistical test.

Read more about using statistics at the Stats with Cats blog. Join other fans at the Stats with Cats Facebook group and the Stats with Cats Facebook page. Order Stats with Cats: The Domesticated Guide to Statistics, Models, Graphs, and Other Breeds of Data analysis at amazon.com, barnesandnoble.com, or other online booksellers.



